오늘은 수학을 포기한 젖비린내나는 기열찐빠 앗쎄이들도 올챙이크림내가 펄펄나고 기합넘치는 오도해병으로 거듭나게 해줄 해병 수학시간이다.
수학을 포기했다는 것은, 곧 수학을 두려워한다는 것. 무언가를 두려워 한다는 것은 해병으로서 흘러빠졌다는 것이다.
더하기 빼기 곱하기 나누기를 할 줄 아는가? 축하한다. 자랑스러운 오도해병으로 가는 길은 언제나 열려있다.
첫 번째 주제는 소수와 합성수이다.
전우애, 전우끼리의 끈끈한 애정을 다시 한 번 확인해보며 고된 하루를 끝마치는 일.
그렇다. 해병들에게 전우애란, 단순한 동성 성관계가 아닌 해병정신을 다시 한 번 주입하고 마음의 안정을 찾는 아주 중요하고도 신성한 행위이다.
하지만 이러한 해병들 사이에서도, 전우애를 일절 하지 않는 해병들이 존재하며 그들을 "기열"이라고 부른다.
숫자들 사이에도 끈끈한 전우애를 하는 기합숫자들이 존재하며, 전우애를 거부하는 기열숫자들이 존재한다.
우리는 기열 숫자들인 "소수"와 기합 숫자들인 "합성수"에 대해 다룰 것 이다.
첫 번째로 기열인 소수이다. 소수들은 전우애를 거부하는 기열마냥, 자신과 1을 곱해야지만 자신이 될 수 있는 숫자들을 의미한다. 물론 텍스트로 설명하니 이해가 되지 않을텐데 예시를 들어주겠다.

기열 찐빠인 3해병이다. 과연 어떤 두 숫자 해병님들을 전우애시켜서 3해병을 탄생시킬 수 있을까? 정답은 불가능하다. 전우애(곱셈)를 통해 3해병님을 만들 수 있는 경우는 단 한 가지. 기열성별인 1과 3의 전우애를 통해서만 3이라는 해병을 만들 수 있다. 새끼 기열!


그와 대조되는 기합스러운 4해병님이다. 실망스럽게 4해병님과 기열성별인 1과의 전우애를 통해서도 4해병님을 탄생시킬 수 있지만, 기합스럽게도 두 명의 2해병님의 전우애를 통해서도 4해병님을 탄생시킬 수 있다.

(2해병님들과의 전우애를 통해 4해병님을 탄생시켰다. 과연 기합이로다.)
1을 제외한 자연수들의 곱으로 표현 할 수 있는 숫자들을 전부 합성수라고 하며, 반대로 1과 자기 자신의 곱으로만 표현 할 수 있는 숫자들을 전부 소수라고 한다. 참고로 자연수만 해당하므로, 분수를 사용하면 안된다. 분수를 사용하면 모든 숫자들이 전부 합성수이기 때문이다.
두 번째 단원은 바로 소인수분해이다.
모두들 "인수"라는 말을 들어봤나? 그렇다 인수분해의 그 인수이다. 인수분해라는 단어만 들어도 온몸이 띯따구릏하게 떨리는가? 하지만 인수는 변왕추 해병님과 같은 공포의 대상이 아닌, 별 것 없는 기열들 중 하나일 뿐이다.
해병대의 상징이기도한 6이라는 숫자와 9라는 숫자가 있다.
앗쎄이 전우애 도중 구구단 실시!
구구단조차도 모른다면, 역설적이게도 해병에게 있어서는 기합스러운 지능을 가졌으므로, 더 이상 글을 읽을 필요가 없으니 돌아가도록!
그렇다. 6과 9라는 숫자는 구구단에서 쉽게 찾아 볼 수 있다. 2x3 = 6, 3x3 = 9 이와 같이 어떠한 합성수를 소수들의 곱셈으로 표현하는 것이 바로 소인수분해이며, 곱으로 구성되어있는 소수 하나하나가 인수인 것이다.

6이라는 숫자를 2x3으로 인수끼리의 곱으로 표현하는 것이 소인수분해이다 아쎄이. 이제 왜 "분해"라고 불리우는지 알겠나? 왜 소인수분해냐면, 각 각의 인수들이 전부 다 기열스러운 소수로 이루어지게 되기 때문이다!
앗쎄이 9 소인수 분해 실시!

감이 잡혔나? 하지만 이따구로 대충 개념을 알려주면 아래와 같은 기열찐빠와 같은 상황이 생기므로 철저히 알려주겠다.
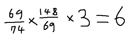
기열찐빠의 예시를 보도록!

새끼.. 기열! 소인수분해에는 1같은 기열 숫자를 포함하지 않는다. 1이 아닌 숫자로만 분해하도록!

새끼.. 69와 74라는 숫자를 사용한 것은 기합이지만, 소인수분해에 분수를 쓰게 되어있나??

새끼.. 기열! 4 해병님이 아직 소인수분해가 덜 되지 않았나???
이와 같이 몇 가지의 사소한 찐빠가 있을 수 있으므로, 몇 가지의 규칙을 알려주겠다.
1. 선임이 몸에 손을 댈 때는 감사합니다. 라고 외친다.
2. 전우애 도중 비명소리는 용납되지 않는다.
3. 소인수분해는 1을 포함하지 않는다.
4. 소인수분해의 인수는 더 이상 분해가 되지 않는 "소수"여야 한다.
5. 소인수분해의 결과인 인수들은 자연수만 허용된다.
몇가지 이상한 것이 섞여있는 것 같지만. 아무튼 어떠하리
앗쎄이! 잘 알아들었는지 테스트하는 시간이다. 다음 숫자들을 소인수분해 해보도록!
1. 69
2. 74
3. 892

첫 번째로 69해병님을 소인수분해할 시간이다. 각 자릿수를 더했을 때, 그 결과가 3의 배수라면, 3으로 나누어 떨어진다는 해병-배수판정법을 이용한다. 6+9=15, 15는 곧 3의 배수이니, 69는 3의 배수!
69를 3으로 나누어보니 32이라는 결과가 나온다. 즉, 3x23 = 69인 셈! 물론 해병-배수판정법은 쾌흥태 해병님처럼 짬이 높은 해병님들만 알고있는 해병-일급기밀이므로, 싸제냄새 풍기는 앗쎄이들은 해병우동사리를 열심히 굴려가며 어떤 숫자들이 곱해졌는지 생각해보도록!
3, 23 총 두 개의 인수가 나왔는데, 기열마냥 23 해병님을 그냥 놔두고 가버리면 안된다. 혹시라도 23해병님이 다시 한 번 소인수분해가 될 가능성이 있기 때문이다.
하지만 애석하게도 23이라는 숫자는 소수이므로.. 새끼 기열! 더 이상 분해를 할 수 없다.

69해병님은 알고보니, 기열 소수들인 3 해병님과 23 해병님들이 서로 전우애를 하고 있는 모양이었던 것이었다.

다음은 74 해병님 차례이다.
두 번째 해병-배수판정법을 알려주겠다. 너무나 쉽고 뻔한 내용이므로, 짬이 비교적 덜 찬 앗쎄이들도 쉽게 사용 가능하니, 알아두도록!! 맨 마지막 자리의 숫자가 짝수이면, 무조건 2로 나누어 떨어진다. 라는 것이다. 생각해보면 당연한 것 아닌가?
2x(어떤 숫자) = 74가 되는지 잘 생각해보면.. 나머지 하나는 37이 나오게 된다. 37해병 역시도 기열인 소수이므로, 74해병님을 소인수분해한 결과, 총 2개의 인수를 가졌으며 2x37으로 정리된다.

꽤나 어려울 것 같은 892 해병님이다.
하지만, 안 되면 되게하라 라는 해병 정신을 통해 악으로 깡으로 소인수분해를 해보자.
일단 위에서 말 했듯이 2로 나누어 떨어지므로, 2라는 인수를 가지게 된다.
앗쎄이, 결국 2x446 아닌가? 446해병님 역시 위의 기열들과는 다르게 더 소인수분해가 가능해 보인다. 역시 마지막 자리가 짝수이므로 446해병님은 2x223 아닌가? 223해병님은 아무리 생각해봐도 소수이므로..
결국 892 해병님은 2x2x223, 3개의 인수를 가진 기합스러운 해병님이었던 것이다. (인수 갯수가 많으면 많을수록 오도짜세기합해병이다.)
이와 같이 한 번 소인수 분해를 했다고 해서 끝나는 게 아닌, 천 번의 꼭잡땡 끝에 오도해병이 만들어지듯, 여러번에 거친 소인수분해를 통해야만이 진정한 소인수분해가 될 수 있다. 잘 알아두도록!
마지막으로는 거듭 제곱이다 앗쎄이!
거듭 제곱이란, 해병정신이 없는 기열놈들이 만든 개념으로 간단히 설명해주겠다.
256해병님이라는 짜세 해병님을 소인수분해해보도록!

오도짜세기합해병님답게 256해병님을 소인수분해하자, 8명의 앗쎄이들이 8단 전우애를 하고 있는 것을 볼 수 있다. 같은 숫자인 2를 8번 쓰기가 귀찮아서, 거듭제곱이라는 개념을 만든 것이다.
그렇다. 귀찮다는 이유로 개념을 만들다니. 새끼 기열! "악에는 악으로 깡에는 깡으로 이빨이 없으면 잇몸으로" -해병 십계명-

이렇게 쉽게 표현 할 수 있게 된다. 의미는 2해병님 8명이 떼씹집단전우애를 즐기고 있다는 뜻으로 받아드리도록!