
삼각형의 닮음과 원주각의 성질을 활용하여 문제를 해결하는 과정을 담은 재미있는 문제입니다. 도형 문제의 장점 중 하나는 문제 풀렸을 때 느껴지는 손맛이 다른 문제들보다 뛰어나다는 점 입니다.
풀이 과정

일단 문제의 조건 중 cos(α+β)를 어떻게 활용해줄 것 인지가 문제의 핵심 중 하나입니다. 원에 내접하는 삼각형에서의 현의 길이는 원주각의 sin값에 의해 달라지죠. 사인 법칙을 조금만 떠올려봐도 충분히 생각해낼 수 있는 부분입니다.

이를 잘 활용해준다면 위와 같이 각을 특정 할 수 있게 됩니다. 선분 AD와 원주 위 무작위의 한 점을 찍고 이어도 그 각은 전부 β로 동일하기 때문입니다.

이런 식으로 선분 AD와 연결되어있다면 원주 위 어느 점에 찍든 관계없이 그 각도는 β로 일정한 각도를 가지게 됩니다.

내접하는 사각형 내부에서 이 성질을 잘 활용해준다면 위와 같이 빨간 점으로 표시된 두 각이 같고 파란 점으로 표시된 두 각 역시 서로 같음을 알 수 있습니다.

삼각형 ABE와 CDE는 이미 두 각도가 같으므로 나머지 각 역시 엇각으로 서로 같다는 걸 알 수 있고 세 각도가 전부 같으므로 두 삼각형은 닮음 관계에 놓여져 있다는 것을 알 수 있습니다. 세 각의 합이 π가 되어야 하니 나머지 한 각은 π-(α+β)가 되어야 한다는 것 역시 알 수 있습니다.

초록색 부분의 각도는 π-(α+β)와 더한 결과가 π가 되야하니 각도를 α+β로 둘 수 있습니다. 이제 주어진 정보인 cos(α+β)를 활용 할 부분이 생겼네요.
위의 결과를 보면 알겠지만 4개의 삼각형이 각 각 닮음 관계에 놓여져 있습니다. AB의 길이는 4고 BC의 길이는 8이므로 닮음비가 2:1이라는 것 도 너무나 명확하게 보이죠?

주어진 선분들의 길이를 모르니 일단 a와 b로 두기로 작정을 했습니다. 이제 코사인 법칙을 활용 할 공간이 보이기 시작하네요. 각의 cos값을 알기 때문에 미지수가 b 하나이므로 코사인법칙을 통해 b의 길이를 구해 낼 수 있게 됩니다.
위와 같이 코사인법칙을 이용하여 b의 길이를 구해냈습니다.

이제 AB의 길이가 4라는 점을 이용해주면 문제가 해결되겠습니다. 다시 한 번 코사인 법칙을 써줍시다.
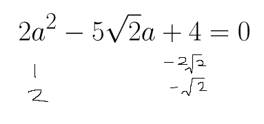
이제 위 식을 이항한 뒤 양변에 2를 곱해주고 이차방정식을 풀어주도록 합시다.

인수분해가 쉽게 되네요.
추가적인 조건을 통해 a의 값을 특정해내야 하는데 객관식 답에 2분의 루트2가 없으니 정답은 5번이 되겠습니다. 주관식이 아니니 그냥 날로 먹읍시다.

'수학 Ⅰ 기출분석 > 삼각함수' 카테고리의 다른 글
| [230613] 삼각함수 도형 추론 (정답률 20%) (0) | 2025.11.12 |
|---|---|
| [241019] 절댓값이 포함된 사인 함수 해석 (정답률 14%) (0) | 2025.11.12 |
| [210720] 특정한 삼각형의 외접원 넓이 구하기 (정답률 40%) (1) | 2025.11.11 |
| [211021] 삼각비의 정의를 활용하여 선분 길이 구하기 (정답률 15%) (0) | 2025.11.10 |
| [230313] 사인 함수 합성을 통한 다항함수 특정 [정답률 45%] (0) | 2025.11.10 |