반응형

[ 풀이 과정 ]

Step 1) 빈 칸 채워넣기, (가) 추론

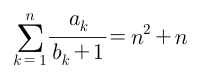
주어진 다음 식에 $n-1$을 대입하고 서로 빼주면 됩니다.
$$\frac{a_n}{b_n+1}=n^2+n-\left\{ \left ( n-1 \right )^2+(n-1)\right\}$$
$$\frac{a_n}{b_n+1}=n^2+n-\left\{ \left ( n-1 \right )(n-1+1)\right\}$$
$$\frac{a_n}{b_n+1}=n^2+n-\left\{ n\left ( n-1) \right )\right\}$$
$$\frac{a_n}{b_n+1}=2n$$

다음과 같이 (가)에 들어 갈 숫자는 2가 됩니다.

Step 2) 빈 칸 채워넣기, (나) 추론
$a_1=3$, $a_2=10$이 주어져 있으므로 n = 1, 2를 대입하여 $b_1$, $b_2$를 구해내면 $b_n$는 등비수열이므로 등비를 확정 할 수 있게 되겠죠?
$$3=2\left ( b_1+1 \right ),$$2b_1=1$$
$$5=2(b_2+1),2b_2=3$$
$$2b_2=2b_1\times r,r=3$$
수열 $b_n$은 등비가 3인 등비수열입니다.


Step 3) 무지성 계산하기
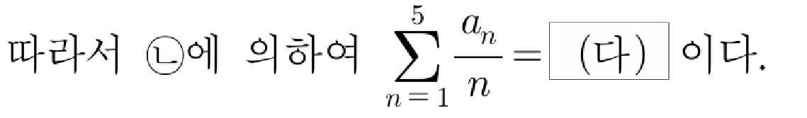
$$\sum_{n=1}^{5}\frac{a_n}{n}=2(b_n+1)$$
$$\sum_{n=1}^{5}\frac{a_n}{n}=1+3+9+27+81+10$$
$$\sum_{n=1}^{5}\frac{a_n}{n}=131$$
솔직히 항의 갯수가 5개밖에 안되므로 등비수열의 합 공식을 쓸 필요까지는 없어보이네요.

편~안하게 채웠네요.
$p+q+r=2+3+131=136$ 정답은 1번이 되시겠습니다.
반응형
'수학 Ⅰ 기출분석 > 수열' 카테고리의 다른 글
| [241115] 귀납적으로 정의된 수열 [정답률 52%] (0) | 2026.03.31 |
|---|---|
| [241111] 부분 분수의 합과 등차수열 [정답률 47%] (0) | 2026.03.30 |
| [260620] 수열 빈칸 문제 (정답률 27%) (0) | 2026.03.28 |
| [240921] 등차수열의 합들의 합을 통한 공차 구하기 (정답률 12%) (1) | 2026.02.20 |
| [261120] 수학적 귀납법 (정답률 30%) (0) | 2026.01.20 |